Los sueldos base de los funcionarios europeos, de 2.300 a 16.000 euros al mes
¿Alguna vez te han dicho que si quieres ganar mucho dinero que te hagas funcionario europeo? La verdad es que el nivel de ingresos de estos funcionarios depende mucho del puesto que tengan. Los empleados públicos europeos que consiguen puestos de directivos sí tienen un salario base bastante alto, superando los 16.000 euros al mes. Sin embargo, un funcionario europeo que desempeña las labores de secretaría tiene un sueldo base de unos 2.300 euros.
A continuación te explicamos cuáles son los diferentes puestos de funcionarios europeos que existen, así como sus salarios y los complementos e indemnizaciones a las que tienen derecho.
Contenido de la información:
Sueldo de los funcionarios europeos
El sueldo de los funcionarios europeos es resultado de la suma de tres componentes:
- Salario base
- Complementos
- Indemnizaciones
La cuantía de cada uno de los salarios depende directamente del grupo de trabajo al que pertenezcan, así como el nivel o escala dentro del grupo en el que estén. A medida que ganen experiencia y consigan logros en el trabajo, pueden ir ascendiendo y aumentando su nivel salarial.
El nivel salarial está ajustado a la calidad y nivel de vida de Bruselas y Bélgica, puesto que la mayoría de trabajadores públicos europeos viven en estos lugares. Los salarios, complementos, pensiones y retribuciones están reguladas por el Estatuto de funcionarios de la Unión Europea y todos los años modifican las cuantías del sueldo.
Grupos de funcionarios
Existen tres grandes grupos de funcionarios europeos según las tareas que realizan:
- Grupo AD. En esta categoría están los puestos de director general, director, consejero o equivalente, Jefe de Unidad o Administrador. Los trabajadores del grupo AD son los que aplican la legislación de Europa y realizan análisis y asesoramiento sobre finanzas y economía. Dentro del grupo AD hay diferentes niveles, el más bajo es el nivel AD5 que es al que acceden los recién titulados. Para ir subiendo en la escala y llegar hasta el más alto que es el AD16 es necesario contar con experiencia y un mayor nivel académico.
- Grupo AST. En esta categoría destacan los puestos de personal asistente experimentado, responsable de actividades administrativas o técnicas y los asistentes. Los trabajadores del grupo AST son los encargados de realizar trabajos técnicos de administración, finanzas o aplicación de políticas. Dentro del grupo AST encontramos niveles desde el 1 que es el más bajo hasta el 11 que es el más alto.
- Grupos AST/SC. En esta categoría están incluidos el personal de secretaría y oficina, así como de puestos responsables. En este grupo diferenciamos niveles del 1 al 6.
Esta ha sido la clasificación tradicional de los funcionarios europeos, pero hace unos años modificaron las nomenclaturas y los diferentes grupos de funcionarios pasaron a clasificarse en cuatro letras, de la A a la D. Los trabajadores de la categoría A corresponden a los trabajadores de mayor rango, es decir, a los directivos, mientras que los trabajadores de la categoría D pertenecen a los puestos de secretaría y personal administrativo. Las letras B y C incluyen a los puestos intermedios, a los asistentes y responsables de actividades y trámites.
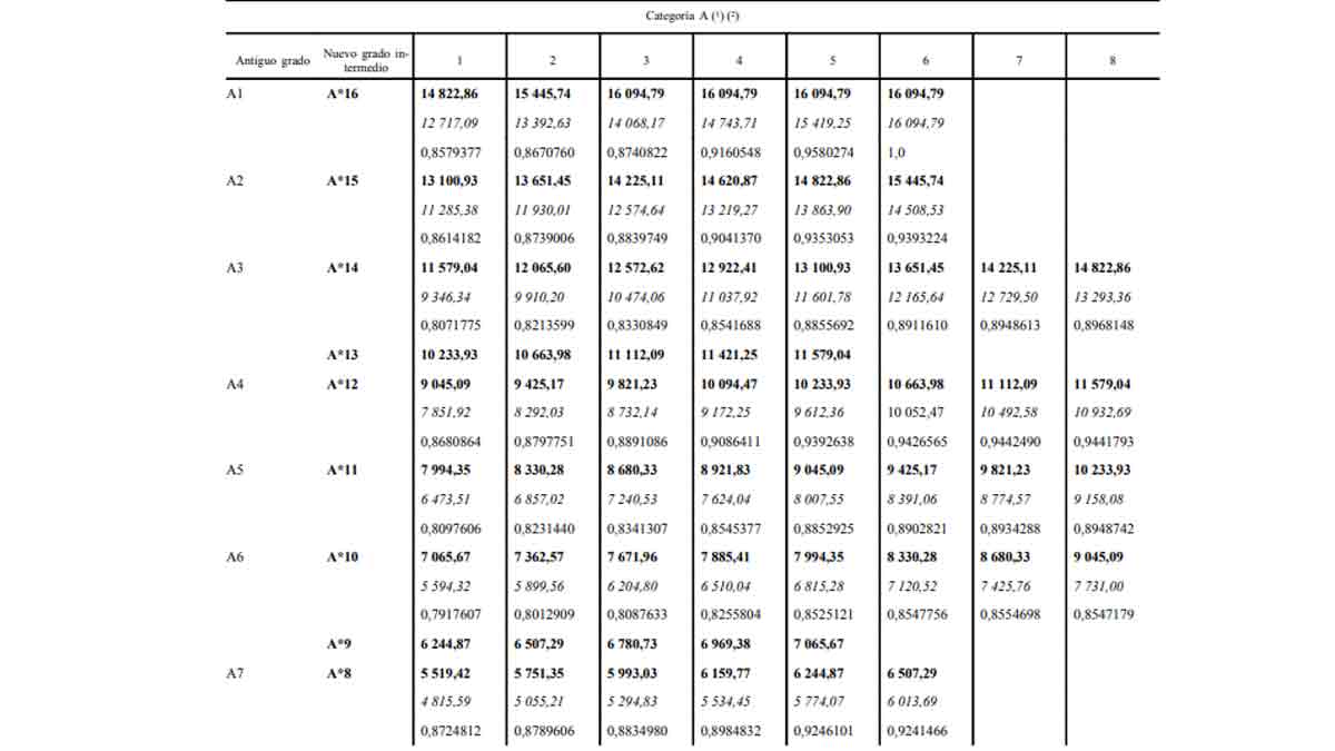
Esta modificación en la nomenclatura de los cargos produjo la aparición de otros nuevos, como puedes apreciar en la siguiente tabla. Por ejemplo, los directivos que estaban clasificados en la categoría A1 con este cambio pasaron a estar integrados en la categoría A16.

Sueldos grupo A
Los sueldos base de los funcionarios del grupo A son los más altos de todos los grupos. El funcionario directivo de mayor nivel, el A16 de escala 6 cobra un total de 16.094,79 euros mensuales y es el sueldo más alto de todos los funcionarios europeos.
Como podemos ver en la tabla, cada grupo (A16, A15, A14…) tiene a su vez distintos niveles o escalas, en concreto, en el grupo A distinguimos hasta 8 diferentes escalas. A mayor escala, más sueldo, es decir, que un directivo del grupo A14 que tenga un nivel 1 va a tener un sueldo menor que un directivo del mimo grupo y que esté en la escala 8. En concreto, tomando los datos de la tabla, en el grupo A14 las diferencias de salario entre un directivo del nivel 1 y otro del nivel 8 es de 3.303,02 euros.
Por este motivo podemos encontrar diferencias de salario, tales como que el directivo del nivel más alto (A16) de escala 1 cobra 14.882,86 euros al mes, cantidad inferior a los 15.445,74 euros que gana el directivo del grupo A15 (el segundo) del nivel 6.
En cuanto al sueldo más bajo del grupo A destacan los 3.810,69 euros al mes que gana un funcionario del grado A5 escala 1.


Sueldo grupos B
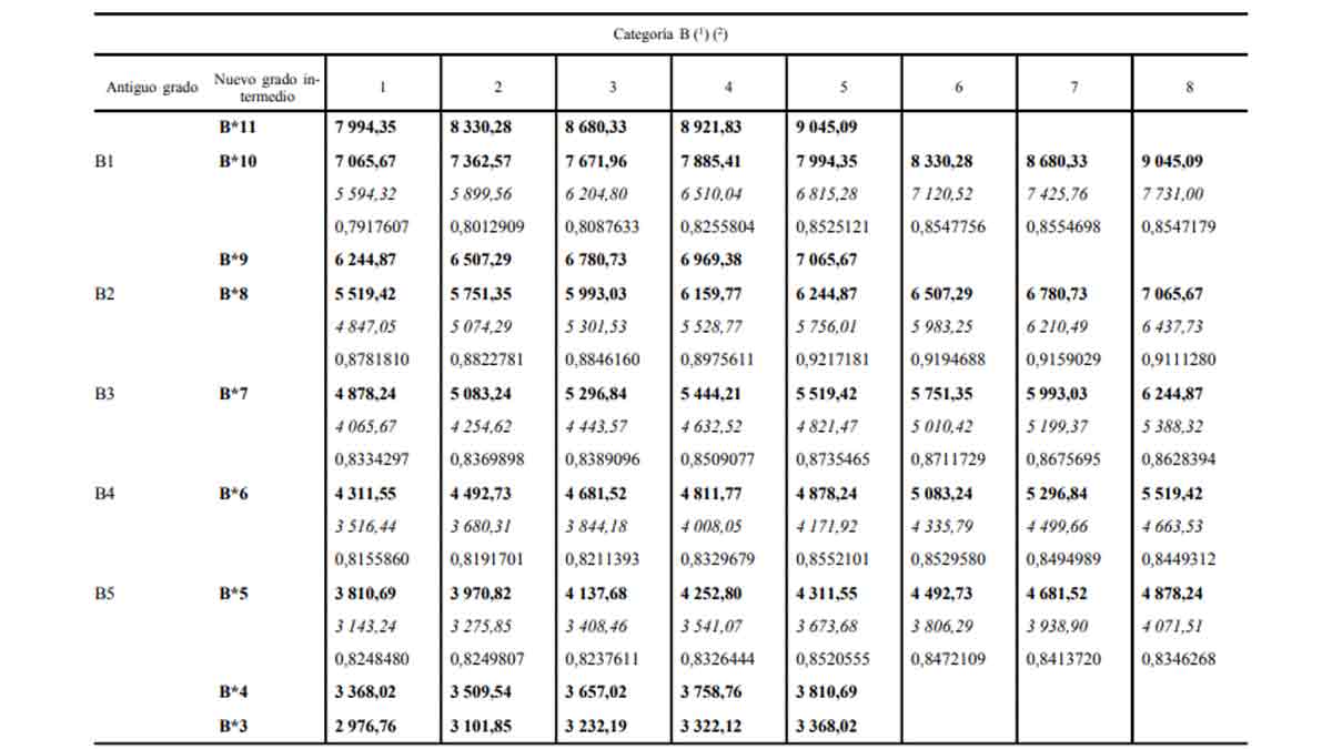
Los salarios base del grupo B son algo inferiores a los del grupo A porque este grupo está compuesto por puestos de un rango intermedio. El sueldo más alto de esta categoría alcanza los 9.045,09 euros mensuales que cobra el funcionario del nivel más alto de la categoría, el B11 escala 5. Aunque esta misma cantidad es la que cobra el funcionario del grupo B10, uno inferior, de la escala más alta, la 8. Por otra parte, el salario más bajo del grupo B es de 2.976 euros y es lo que cobra el funcionario B3 escala 1.

Grupo C
Los sueldos en el grupo C son algo inferiores a los del grupo B. El salario más alto del grupo C es de 5.519,42 euros al mes y lo cobra el funcionario de más alto nivel de este grupo clasificado como C7 escala 5. Como ocurre en el grupo B, el sueldo del funcionario del grupo C6, un nivel inferior, pero de escala 8 que es la más alta es el mismo que en el caso anterior, 5.519,42 euros al mes. Por otra parte, el sueldo más bajo de este grupo lo cobra el funcionario C1 escala 1 que obtiene un total de 2.325,33 euros al mes.

Grupo D
Por último, los sueldos del grupo D son los más bajos de todos los salarios de los funcionarios de Europa. Sin embargo, aun así, el funcionario del grupo D más alto, el D5 con escala 5 obtiene un sueldo de 4.311,55 euros al mes mientras que el funcionario que menos cobra del grupo D, el D1 escala 1, tiene un salario de 2.325 euros mensuales.
Tal y como podéis comprobar en ambas tablas, el salario más bajo de todos los funcionarios europeos coincide en los grupos C y D en los niveles más bajos. Para los dos casos el salario base apenas supera los 2.300 euros.

Complementos e indemnizaciones
Todos los salarios que hemos detallado en apartados anteriores hacen referencia al sueldo base, cantidad que puede incrementarse por los complementos e indemnizaciones. A continuación detallamos algunos de los principales pagos extra a los que tienen derecho los funcionarios europeos.
Complementos familiares
Los complementos que pueden recibir los funcionarios por la familia están divididos en diferentes conceptos:
Por un lado, tienen derecho a una asignación familiar que está fijada en un máximo de 170,52 euros al mes, lo que puede incrementar en un 2 % el sueldo base del funcionario. Los funcionarios que tienen derecho a la asignación familiar son:
- El funcionario casado
- El funcionario viudo, divorciado, separado de forma legal o soltero que tenga uno o más hijos a su cargo.
- El funcionario que tenga una pareja estable registrada aunque no haya vínculo matrimonial.
Por otra parte, los trabajadores públicos europeos tienen derecho a recibir además una asignación por hijo a cargo y otra asignación por los gastos escolares cuya cuantía máxima alcanza los 252,811 euros.
Gastos de viaje
Los funcionarios europeos tienen derecho a un pago correspondiente a los gastos de viaje que cubren los siguientes conceptos:
- El traslado desde el lugar de residencia hasta el lugar de trabajo
- Traslados que impliquen cambio de destino
- Cuando deje de trabajar de forma definitiva, el traslado desde el lugar de trabajo hasta su residencia.
No hay una cantidad fija para este complemento del salario, sino que está calculada en función de los kilómetros que tenga que recorrer el trabajador. A esta cantidad hay que añadir un suplemento de 94,74 euros si la distancia está entre 600 y 1200 km o de 189,46 si la distancia que tiene que recorrer está a más de 1.200 km.
Dietas
El funcionario que va de viaje en cumplimiento de una orden de misión tiene derecho a reembolso de los gastos del transporte y a dietas diarias.
Indemnizaciones
Los funcionarios europeos tienen derecho a diferentes indemnizaciones, entre ellas:
- Indemnización por expatriación con una cuantía igual al 16 % del sueldo base.
- Gastos de instalación por haber tenido que cambiar su residencia e incluso por gastos de reinstalación. Este último únicamente puede otorgarse cuando en el momento del cese definitivo de las funciones demuestre haber cambiado de residencia. Esta indemnización es equivalente a dos meses del suelo o a un mes si no tiene derecho a la asignación familiar.
Pensión de jubilación
En cuanto a la pensión de jubilación, la cuantía máxima que pueden llegar a percibir es del 70 % del último salario base correspondiente al último grado en el que haya estado clasificado como mínimo un año. Todo trabajador que permanezca en servicio tras superar la edad de jubilación tiene derecho por cada año trabajado a partir de esa edad de un aumento de su pensión del 1,5 % del sueldo base.
Impuestos
El salario de los funcionarios de la Unión Europea está exento del cobro del IRPF, pero deben hacer frente a un impuesto de la Unión Europea que es progresivo. Además, deben pagar una tasa de solidaridad.
Si todo lo que has leído te parece un futuro idóneo, puedes informarte más sobre cómo presentar tu candidatura para trabajar en las Instituciones Europeas a través de la web oficial de la Unión Europea o en la web propia de candidaturas para ser funcionario europeo.
